开云(中国)Kaiyun·官方网站-登录入口
帆之都教育信息咨询有限公司--白俄罗斯--留学信息--白俄罗斯留学优势--中白互认学历协议
公司简介
(
About Us
) |
加盟合作
|
诚聘英才
|
联系我们
English
         
首 页
帆之都学校
新闻热点
国际预科
国际课程在线辅导
英 语 学 习
留 学 国 家
国际高中专栏
移民业务
海外院校
异域风情
小语种培训
成功案例
奖 学 金
新西兰
澳大利亚
马来西亚
美国
英国
意大利
日本
加拿大
新加坡
俄罗斯
法国
西班牙
韩国
北欧
白俄罗斯
葡萄牙
德国
奥地利
巴西
阿根廷
您当前位置所在位置:
首页
>
留学国家
>
白俄罗斯
>
留学信息
>
白俄罗斯留学优势
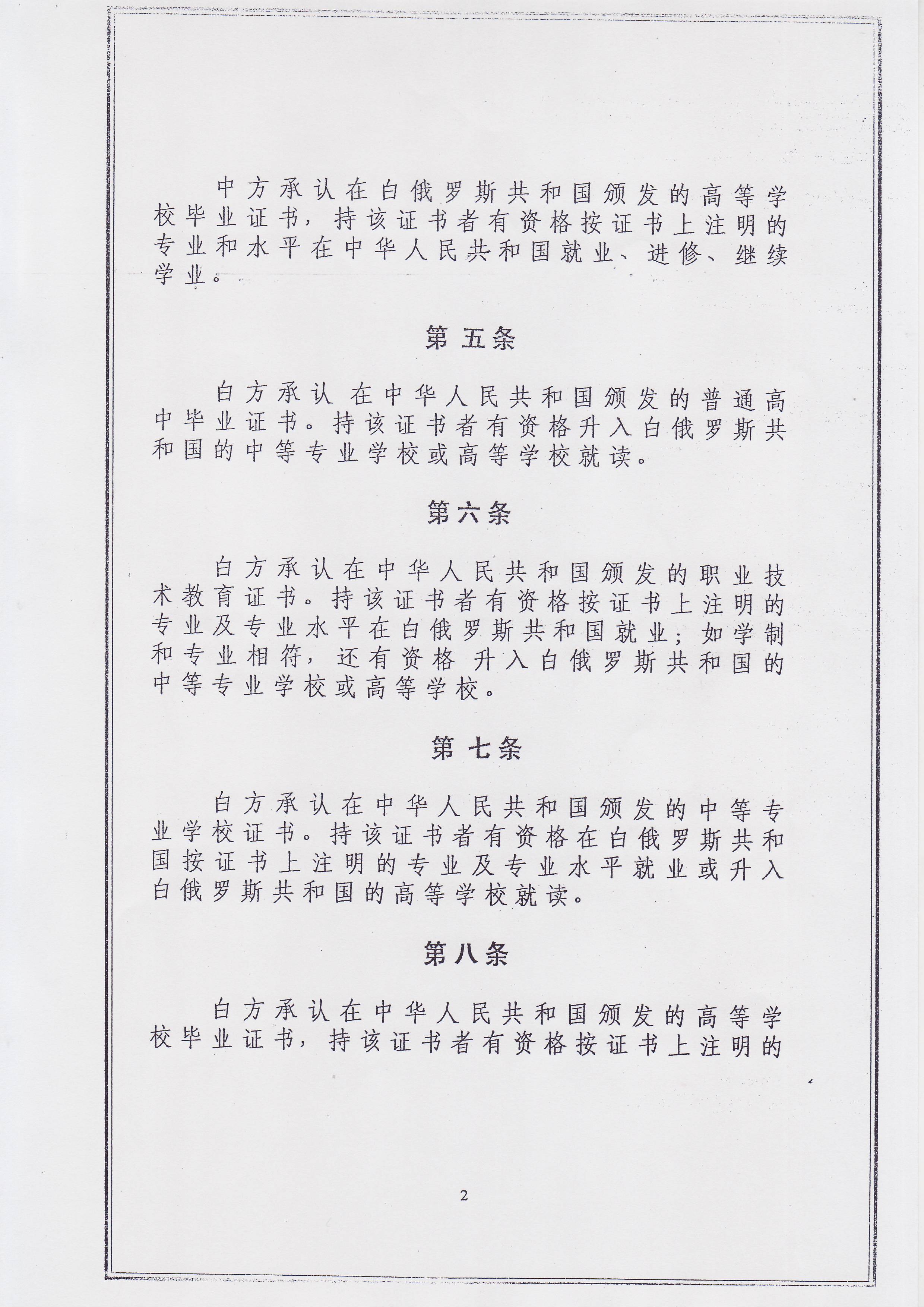
中白互认学历协议
来源:
编辑:
日期:
2012-06-05
浏览方式:
大
中
小
浏览次数:
3679
【
打印本页
】 【
关闭窗口
】【
返回TOP
】
相关阅读
三校生在俄乌白留学的不同境遇
白俄罗斯留学优势
小语种就业分析
帆之都国内分支机构
成都
028-85566392
沈阳
024-62266989
温州
0577-88801280
晋城
0356-2136348
上海
021-62115882
西安
029-83665624
长沙
0731-82859359
南宁
0771-5320161
广州
020-29890315
成都
沈阳
温州
晋城
上海
西安
长沙
南宁
广州
帆之都海外办公室
新西兰:
0064-9-6262218
澳洲:
0061-2-92115505
加拿大:
001-416-8007292
法国:
0033-954368686
新西兰
澳洲
加拿大
法国
帆之都培训
学校简介
校园风采
校区管理
资深顾问
方老师:13601066356 微信同号
资深顾问
MSN
QQ
专业评估
在线咨询
文老师
资深顾问
MSN
QQ
专业评估
在线咨询
温老师
资深顾问
MSN
QQ
专业评估
在线咨询
新西兰
英/美
意大利
电子月刊
在线阅读
下载
友情链接
湖南工学院
帆之都移民
温州大学
湖南城市学院
梅西大学
新西兰维特利亚理工学院
新西兰Unitec理工学院
美国卡森纽曼大学
河北武邑中学
北京物资学院
北京石油化工学院
奥克兰大学
美国瓦尔帕莱索大学
北京帆之都教育信息咨询有限公司 版权所有
地址:北京市西城区鼓楼西大街41号院8-2号楼221室 京ICP备05085901号-1
学校地址:北京市西城区鼓楼西大街41号院8-2号楼221室
电话:010-51667188 E-mail:
jamesz@fanzhidu.com
网站地图
Copyright © 2008-2022 FanZhiDu.com Corporation, All Rights Reserved 技术支持:北广艺
京公网安备 11010102001964号